40 гигабайт оперативной памяти DDR2 от Apacer и Samsung – удачные модули и неудачный выбор?
- Вступление
- Тестовый стенд
- Методика тестирования
- Apacer 2GB UNB PC2-6400
- Samsung 2GB 2Rx8 PC2-6400U-666-12-E3
- Итоги тестирования
Вступление
Прошлая статья про оперативную память DDR2 закончилась избитой фразой о том, что разгон – лотерея, а три комплекта из четырех не получили положительной оценки. Сегодня мы попытаемся выяснить, насколько важна удача в разгонной лотерее, а также узнаем, на что способны два представителя бюджетной памяти DDR2 в лице двадцати двухгигабайтных модулей от Apacer и Samsung.
Тестовый стенд
Конфигурация системы:
- Материнская плата: ASUS P5Q Deluxe (P45/ICH10R), BIOS version 1702
- Центральный процессор: Intel Core 2 Duo E8400, E0, LGA775, множитель зафиксирован x8 на протяжении всего тестирования
- Охлаждение ЦП: Thermaltake Big Typhoon VX
- Термоинтерфейс: КПТ-8 производства ЗАО “Химтек” на NB, SB, CPU
- Видеокарта: ATI Radeon HD 4870 X2 (HIS) 750/900MHz (3600MHz GDDR5)
- Дисковая подсистема: Western Digital VelociRaptor 300GB (WD3000GLFS-01F8U0) 10000rpm 16MB
- Блок питания: Thermaltake Toughpower 1200W (W0156RE)
Оперативная память:
- Apacer 2GB UNB PC2-6400
- Samsung 2GB 2Rx8 PC2-6400U-666-12-E3
Ввиду незначительного нагрева, от охлаждения оперативной памяти было решено отказаться.
реклама
Программное обеспечение:
- Intel Chipset Device Software v9.1.0.1007
- Prime95 v25.8
- Memset v4.0.0
- CPU-Z v1.48
- MCHTemp v1.20beta
- EVEREST Ultimate 4.60.1500
- WinRAR 3.82
- Microsoft Windows Server 2003 Enterprise 64 bit SP2
Тестовый стенд предоставлен магазином Xpert, оперативная память предоставлена магазином СМарт.ru.
Методика тестирования
В зависимости от используемых модулей, максимальные частоты работы оперативной памяти определялись для трех из четырех наборов таймингов – CL3 (3-3-3-9), CL4 (4-4-4-12), CL5 (5-5-5-15) и CL6 (6-6-6-18). Во всех случаях материнской платой устанавливалось значение Command Rate 2T.
Критерием стабильности являлось успешное прохождение теста Prime95 в режиме Blend в течение 30 минут. Как правило, нестабильная работа выявлялась в течение первых же минут тестирования. В прошлой статье уже было сказано, что 30-минутного прогона вполне достаточно для определения наиболее разгоняющихся модулей, но не более того, поэтому не будем возвращаться к этому вопросу.
Для дополнительных таймингов было выставлено значение Auto, остальные настройки BIOS материнской платы выглядели следующим образом:
PCIE Frequency: 100 MHz
FSB Strap to North Bridge: 333 MHz
DRAM CLK Skew on Channel A1: Auto
DRAM CLK Skew on Channel A2: Auto
DRAM CLK Skew on Channel B1: Auto
DRAM CLK Skew on Channel B2: Auto
DRAM Static Read Control: Disabled
DRAM Read Training: Disabled
MEM/OC Charger: Enabled
Ai Clock Twister: Moderate
Ai Transaction Booster: Auto
Load-Line Calibration: Enabled
CPU Spread Spectrum: Disabled
PCIE Spread Spectrum: Disabled
CPU Clock Skew: Auto
NB Clock Skew: Auto
CPU Margin Enhancement: Optimized
реклама
FSB Termination Voltage: 1,30
NB Voltage: 1,30
NB GTL Reference: 0,630
SB Voltage: 1,10
PCIE SATA Voltage: 1,50
Для того, чтобы не ограничивать разгон оперативной памяти с установленными таймингами CL5/CL6 возможностями материнской платы, с указанными задержками тестирование проводилось при соотношении FSB:DRAM > 1. В свою очередь, разгон с таймингами CL3 и CL4 проводился при соотношении FSB:DRAM = 1:1.
В прошлый раз было выяснено, что в случае с указанной конфигурацией материнская плата Asus P5Q Deluxe завышает установленное напряжение оперативной памяти на 0,12-0,14В. Поскольку номинальное напряжение для тестируемых сегодня модулей составляет 1,80В, а BIOS материнской платы, в свою очередь, не позволяет установить меньшее, чем 1,80В напряжение, все модули были протестированы при напряжении 1,94В и 2,12В по показаниям мультиметра UNI-T UT2005.
Для каждого из 20 модулей был определен максимальный разгон в одноканальном режиме работы при напряжении 1,94В и задержках CL5, после чего с отобранными таким образом модулями тестирование продолжилось в двухканальном режиме.
Apacer 2GB UNB PC2-6400
В московской рознице за данную память просят примерно 23,5$ по курсу ЦБ на момент написания статьи.
Маркировка чипов Apacer – AM4B5808CEWS8E, все они произведены в конце января 2009 года.
В нашу лабораторию модули Apacer попадали лишь однажды, еще во времена царствования памяти DDR, а в теме форума, посвященной статистике разгона оперативной памяти DDR2, я нашел всего три упоминания о памяти Apacer. Тем больший интерес представляет сегодняшнее тестирование.
Серийный номер в SPD потерял 4 последние цифры, в остальном информация является исчерпывающе-подробной:
Уже первому модулю покорилась частота 510 МГц (1020 МГц DDR2), второй продемонстрировал тот же результат, три других оказались чуть менее удачными – 495,6 МГц (991 МГц DDR2), еще две планки памяти взяли частоту 500,4 МГц и 505 МГц (1001 и 1010 МГц DDR2) соответственно. Три других экземпляра оказались заметно удачнее – им покорились частоты 542,4 МГц, 547 МГц (1085 и 1094 МГц DDR2), и, наконец, лучший из модулей смог пройти тест при частоте 552 МГц (1104 МГц DDR2) или +38% от номинала!
Даже самые «неудачные» модули вплотную подобрались к частоте 1000 МГц DDR2, в то время как для удачных модулей граница стабильности отодвинулась еще на 100 МГц. Надо признать, просто отличный результат для бюджетной памяти DDR2-800!
реклама
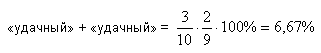
Согласно полученным данным, при покупке одного модуля Apacer, вероятность получить наиболее удачный экземпляр составляет 30%, что, в общем-то, немного. Однако, с практической точки зрения наиболее интересен другой вариант, при котором покупаются сразу два модуля памяти для работы в двухканальном режиме. Здесь теория вероятности еще больше портит картину оверклокеру:
Другими словами, вероятность купить сразу два наиболее удачных модуля составляет всего 6,67%, а ограничиться не самым выдающимся для данной памяти разгоном нам грозит в 93,33% случаев, т.к. даже если один из модулей окажется заметно удачнее другого, общий разгон будет целиком зависеть от наименее удачного модуля.
Взяв на заметку данные теоретические выкладки, в двухканальном режиме мы протестируем как два наиболее удачных, так и два наименее удачных модуля, поскольку именно последние и будут отражать наиболее реальную картину для абсолютного большинства покупателей данной памяти.
При повышении напряжения до 2,12В, двум наименее удачным модулям покорилась частота 1000 МГц DDR2, что само по себе является весьма неплохим результатом для 4ГБ оперативной памяти за 47$. Что касается наиболее удачных модулей, то с задержками CL5 и при меньшем рабочем напряжении они, ни много ни мало, превзошли рассмотренный в прошлый раз комплект Corsair TWIN2X4096-6400C4DHX (90$) и даже, пусть ненамного, но опередили комплект Geil Black Dragon GB24GB8500C5DC (110$), номинальная частота которого составляет 1066 МГц DDR2! Браво, Apacer!
Страницы материала
Лента материалов раздела
Соблюдение Правил конференции строго обязательно!
Флуд, флейм и оффтоп преследуются по всей строгости закона!
Комментарии, содержащие оскорбления, нецензурные выражения (в т.ч. замаскированный мат), экстремистские высказывания, рекламу и спам, удаляются независимо от содержимого, а к их авторам могут применяться меры вплоть до запрета написания комментариев и, в случае написания комментария через социальные сети, жалобы в администрацию данной сети.


Комментарии Правила