Ретробенчмаркинг — GeForce 8800 GTS (G92)
Введение
В прошлой статье мы остановились на обновлённом ускорителе ATI/AMD Radeon HD 3870, который пускай и уступал своему прямому конкуренту в лице NVIDIA GeForce 8800 GT, однако, был дешевле, причём зачастую представлял собой даже более рациональную покупку, так как обладал лучшим соотношением цена-производительность. Но у NVIDIA имелся в рукаве ещё один козырь — уже на момент выхода GeForce 8800 GT, как мы уже упоминали в обзоре этой карты, выглядело крайне вероятным, что G92 в составе 8800 GT всё же несколько урезан, так что чуть позже нас, возможно, ждёт выпуск более производительного решения на полноценном G92. Так в итоге и получилось, и сегодня наш рассказ как раз об ускорителе на полноценном G92.
Но прежде чем двигаться дальше, в очередной раз напомню, в чём состоит основная цель всех этих археологических раскопок. Дело в том, что очень часто в обзорах новинок рынка 3D-ускорителей (и первые видеокарты с аппаратной поддержкой DirectX 10 тому не исключение) встречаются рассуждения об имеющемся у нового "железа" потенциале, который, возможно, будет позже раскрыт. Вот только в будущем про "старичков" напрочь забывают, так как на фоне постоянных анонсов всё нового и нового "железа" уже особо не до них, они мало кому интересны, и тема раскрытия потенциала остаётся, прошу прощения за тавтологию, нераскрытой. В данном цикле статей мы как раз и смотрим, что могут DirectX 10 карты не только в DirectX 10 играх прошлых лет, появившихся с ними примерно в одно время, но и во многих более поздних DirectX 11 проектах, проверяя таким образом раскрытие потенциала ускорителей.
реклама
И раскрывать потенциал мы будем на вполне современном тестовом стенде:
- Материнская плата GIGABYTE Z390 GAMING SLI.
- Процессор i5-9600K в небольшом разгоне до 4.8 ГГц на все 6 ядер.
- Оперативная память 2x16 ГБ Ballistix Sport LT (BLS16G4D32AESE), разогнанная до 3733 МГц с первичными таймингами 16-20-20-40.
- Windows 10 2004, установленная на SSD, игры — на HDD.
Итак, встречаем нашего сегодняшнего подопытного — обновлённый GeForce 8800 GTS — DirectX 10 ускоритель на полноценном 65-нм чипе G92.

реклама
Обновлённый вариант GeForce 8800 GTS проще всего отличить от 90-нм предшественников по объёму установленной видеопамяти — он равен 512 МБ, в то время как предыдущие варианты оснащались либо 320, либо 640 МБ. Указанный объём памяти является следствием изменившейся разрядности шины памяти — как и в GeForce 8800 GT ширина шины памяти была урезана до 256 бит по сравнению с 320 битами у старых вариантов. Однако, несмотря на урезанную шину памяти, пропускная способность памяти осталась прежней, так как её рабочую частоту подняли.

В статье, посвящённой GeForce 8800 GT, мы уже отмечали, что чип G92 является по сути чипом G80, переведённым на новый, более тонкий, техпроцесс, с лишь незначительными архитектурными изменениями — небольшим уменьшением количества блоков ROP и некоторыми изменения в TMU, о которых подробно написано в обозначенном выше материале. Здесь же лишь в ещё раз напомним, что 64 текстурных блока у GeForce 8800 GTS 512 на практике не будут быстрее 32 текстурных блоков в GeForce 8800 GTX, так как при включённой трилинейной или анизотропной фильтрации производительность будет упираться в количество блоков фильтрации текстурных данных, число которых у указанных ускорителей одинаково.
Карточка от GIGABYTE, GV-NX88S512H-B, является точной копией референсного дизайна за исключением декоративной наклейки в стилистике игры Neverwinter Nights 2, включённой в качестве бонуса в комплект поставки.
реклама

Обновлённый GeForce 8800 GTS отличался от GeForce 8800 GT не только число потоковых процессоров и частотами, но и системой охлаждения — NVIDIA учла не самый удачный опыт экспериментов с однослотовой системой охлаждения в 8800 GT и вернулась к проверенному двухслотовому кулеру, значительно более приятного с точки зрения акустического комфорта.
Тесты
Unigine Tropics

реклама
3DMark Vantage


3DMark Cloud Gate

В синтетических тестах преимущество 65-нм новинки на полноценном чипе G92 над 90-нм конкурентом на G80 совсем незначительно по сравнению с тем, которое наблюдается при сравнении урезанных вариантов этих чипов. Такой результат, впрочем, ожидаем, ведь полноценные чипы в GeForce 8800 GTX и GeForce 8800 GTS 512 имеют идентичное количество потоковых процессоров (128), а урезаны они были по-разному: G80 в GeForce 8800 GTS 640 имел в составе всего 96 потоковых процессоров, а GeForce 8800 GT — 112. Здесь, скорее, интересен тот факт, что GeForce 8800 GTS 512 несмотря на более узкую шину памяти, меньший её объём и меньшее число блоков ROP не уступает топовому продукту первого поколения GeForce 8800 GTX, а зачастую даже обходит последний. Победить, как это часто бывает в таких случаях, получилось за счёт "грубой силы" — у новинки выше тактовые частоты и ядра, и шейдерного домена, и памяти.
Call of Juarez (Chrome Engine 3, 2007)

В первом реальном игровом тесте наблюдаем (с учётом точности измерений) паритет между решениями на полноценных чипах G92 и G80 — GeForce 8800 GTS 512 и GeForce 8800 GTX идут "ноздря в ноздрю".
Crysis (CryEngine 2, 2007)

В Crysis GeForce 8800 GTS 512 уже однозначно впереди — высокие тактовые частоты в этой игре важнее широкой шины памяти и её объёма. По крайней мере, в протестированных режимах.
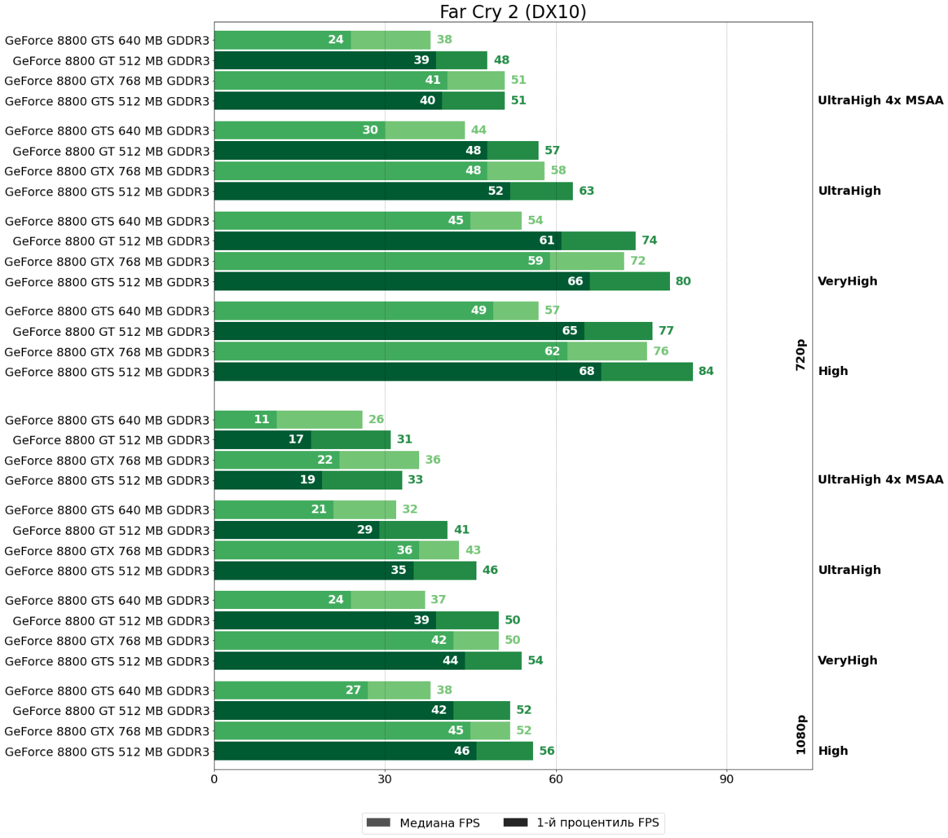
Far Cry 2 (Dunia Engine, 2008)
В Far Cry 2 GeForce 8800 GTS 512 так же впереди за исключением ультра-настроек в FHD, где старичку GeForce 8800 GTX, по всей видимости, наконец-таки пригодились и более широкая шина памяти, и больший её объём, и большее число блоков ROP.
S.T.A.L.K.E.R. Call of Pripyat (X-Ray Engine 1.6, 2009)

А вот в крайней части серии игр S.T.A.L.K.E.R. одержать победу методом "грубой силы" у GeForce 8800 GTS 512 не получилось — GeForce 8800 GTX по-прежнему впереди, пускай преимущество и не столь существенно.
Metro 2033 (4A Engine, 2010)

В Metro 2033 между GeForce 8800 GTS 512 и GeForce 8800 GTX в общем и целом наблюдаем паритет.
Total War Shogun 2 (TW Engine 3, 2011)

А в Total War Shogun 2 вновь однозначно впереди GeForce 8800 GTS 512 — "грубая сила" вновь оказалась важнее архитектурных преимуществ.
Sniper Elite V2 (Asura Eingine, 2012)

В Sniper Elite V2, напротив, GeForce 8800 GTS 512 отстаёт от GeForce 8800 GTX, пускай и немного.
Hitman Absolution (Glacier 2, 2012)

В Hitman Absolution GeForce 8800 GTS 512 выступает чуть впереди или на равных с GeForce 8800 GTX в сравнительно лёгких графических режимах и оказывается позади в режимах тяжёлых (на ультра-настройках), где более широкая шина памяти и больший её объём оказываются важнее более высоких тактовых частот.
BioShock Infinite (Unreal Engine 3, 2013)

В BioShock Infinite "грубой силы" GeForce 8800 GTS 512 вновь достаточно чтобы обойти, пускай и незначительно, GeForce 8800 GTX.
Tomb Raider (Crystal Engine, 2013)

Аналогичная картина и в первой части перезапуска игр, посвящённых приключениям Лары Крофт — GeForce 8800 GTS 512 достаточно более высоких тактовых частот, чтобы обойти GeForce 8800 GTX.
F1 2014 (EGO Engine, 2014)

Королева автоспорта так же предпочитает "грубую силу" — GeForce 8800 GTS 512 заметно впереди.
Grand Theft Auto V (RAGE, 2015)

А вот в GTA V GeForce 8800 GTS 512 заметно быстрее только на самых лёгких настройках — минимальные настройки качества в HD-разрешении. Впрочем, именно эти настройки, пожалуй, самые важные, так как именно на них GTA V всё ещё играбельна на рассматриваемых видеокартах.
Среднегеометрические результаты и выводы


Как можно было убедиться выше, за редким исключением обновлённый GeForce 8800 GTS незначительно обходит топовый ускоритель первого поколения DirectX 10 решений, GeForce 8800 GTX. Да, в тяжёлых графических режимах (ультра-настройки, высокое разрешение, полноэкранное сглаживание) GeForce 8800 GTX всё ещё немного впереди за счёт превосходства по подсистеме памяти, вот только преимущество в этих режимах незначительно и почти неважно, так как на тяжёлых настройках производительности рассматриваемым ускорителям уже начинает не хватать. А на играбельных низко-средних настройках обновлённый GeForce 8800 GTS чаще впереди, в худшем случае — наравне с GeForce 8800 GTX при значительно более демократичном ценнике. Конечно, найти в конце 2007 года новенькую GeForce 8800 GTS 512 по рекомендованной розничной цене в $299–$349 было практически невозможно, но даже за $500 новая карта смотрелась лучше прошлогоднего топа GeForce 8800 GTX за $600+.
Сравнение с первой версией GeForce 8800 GTS, оснащённой 640 МБ памяти, также однозначно в пользу обновлённого 65-нм продукта — при значительно более высокой производительности, новенький GeForce 8800 GTS даже на старте продаж стоил примерно столько же, сколько и старая версия. И здесь, безусловно, стоит ещё раз пожурить компанию NVIDIA за порочную практику выпуска и продажи различных ускорителей под одним и тем же маркетинговым названием. Даже если на секунду забыть о существовании ещё двух вариантов GeForce 8800 GTS (на G80 c 320 МБ памяти и на урезанном G92 с 512 МБ) в конце 2007 года выбор между GeForce 8800 GTS 640 и GeForce 8800 GTS 512 был неочевиден технически неподкованному покупателю — при примерно одинаковой стоимости первый вариант имел даже больше памяти, вот только был значительно медленнее в играх! А такие сюрпризы, очевидно, не есть хорошо.
И всё было бы у новой карты NVIDIA просто отлично, если бы не одно "но" — выпущенный ранее ускоритель GeForce 8800 GT, основанный на том же, но немного урезанном чипе G92 обладал значительно лучшим соотношением цена-производительность. Лишь незначительно уступая GeForce 8800 GTS 512 на полноценном G92, GeForce 8800 GT стоил значительно дешевле — порядка $350 на старте продаж GeForce 8800 GTS 512. Кроме того, небольшой разгон позволял поднять быстродействие GeForce 8800 GT до уровня, близкого к показателям GeForce 8800 GTS 512 в номинальном режиме. У AMD/ATI также имелась в наличии карта, превосходившая новинку NVIDIA по соотношению цена-производительность — рассмотренный ранее Radeon HD 3870, конечно, по чистой производительности не мог конкурировать даже с GeForce 8800 GT, но и цену имел значительно более привлекательную.
Конечно же, по прошествии некоторого времени, когда NVIDIA удалось побороть дефицит новых 65-нм продуктов, и цена на GeForce 8800 GTS 512 опустилась ближе к рекомендованной в $349, а затем и ниже, ускоритель стал выглядеть значительно привлекательнее. На старте же продаж куда важнее был тот факт, что выход обновлённой версии GeForce 8800 GTS окончательно ознаменовал отказ NVIDIA от широкой 320-битной шины памяти в пользу более узкой 256-битной даже в топовых ускорителях. Компенсировать такое очевидно ухудшающее изменение должны были высокие частоты памяти и других узлов, и как можно видеть из полученных результатов, сделать это действительно получилось — в большинстве синтетических и игровых тестов GeForce 8800 GTS 512 показывает результат на уровне GeForce 8800 GTX или даже выше. Лишь изредка меньшая ширина шины памяти и её объём, а также меньшее количество блоков ROP оставляют обновлённую GeForce 8800 GTS позади.
Предыдущие обзоры
- GeForce 8800 GTX (G80)
- GeForce 8800 GTS (G80)
- Radeon HD 2900 XT (R600)
- GeForce 8800 GT (G92)
- GeForce 8800 GTS Core 112 (G80)
- Radeon HD 3870 (RV670)
Лента материалов
Соблюдение Правил конференции строго обязательно!
Флуд, флейм и оффтоп преследуются по всей строгости закона!
Комментарии, содержащие оскорбления, нецензурные выражения (в т.ч. замаскированный мат), экстремистские высказывания, рекламу и спам, удаляются независимо от содержимого, а к их авторам могут применяться меры вплоть до запрета написания комментариев и, в случае написания комментария через социальные сети, жалобы в администрацию данной сети.


Комментарии Правила