Обзор и тестирование видеокарты Gainward GeForce GTX 970 Phantom

С технической точки зрения все GeForce GTX 970 представляют гораздо больший интерес, нежели GTX 980. По той простой причине, что производители самостоятельно разрабатывают СО и печатные платы, а значит, мы можем увидеть интересные идеи. Например, у компании Gainward есть собственный взгляд на конструкцию системы охлаждения, которая известна пользователям под именем Phantom.
9 февраля 2015, понедельник 00:00

Оглавление

Вступление

С технической точки зрения все GeForce GTX 970 представляют гораздо больший интерес, нежели GeForce GTX 980. По той простой причине, что производители самостоятельно разрабатывают системы охлаждения и печатные платы, а значит, мы действительно можем увидеть интересные идеи. Но одновременно растет и риск спроектировать видеокарту с ошибками. Большинство недостатков, на которые часто обращается внимание, всем хорошо известны – это ошибки в настройке алгоритма управления вентиляторами, неэффективный теплоотвод от системы питания, непродуманный радиатор СО и прочее в том же духе.

У компании Gainward есть собственный взгляд на конструкцию системы охлаждения, которая известна пользователям под именем Phantom. В данном материале мы выясним, что получилось у разработчиков при попытке совместить GeForce GTX 970 и оригинальный кулер Gainward.

Обзор Gainward GeForce GTX 970 Phantom

Внешний вид и размеры

Модель A,
мм
B,
мм
C,
мм
D,
мм
A1,
мм
B1,
мм
C1,
мм
ASUS Strix-GTX980-DC2OC-4GD5 268 127 36 94 290 135 43
Gigabyte GV-N980G1 Gaming-4GD 270 98 35 77 298 99 42
Gigabyte GV-N970G1 Gaming-4GD 255 98 35 77 298 99 42
Nvidia GeForce GTX 970/ GTX 980 267 98 36 64 267 98 40
Inno3D iChill GeForce GTX 980 X4 Air Boss Ultra 267 98 51 47/87 297 116 57
Gainward GeForce GTX 970 Phantom 173 98 49 75 240 102 53

А – длина печатной платы, без учета системы охлаждения и планки портов видеовыходов.
В – ширина печатной платы, без учета контактов PCI-E и системы охлаждения.
С – высота от горизонтальной плоскости печатной платы до уровня верхней поверхности системы охлаждения.
D – диаметр вентилятора/ов по внешнему радиусу.

А1 – длина печатной платы, с учетом системы охлаждения (если выходит за пределы печатной платы) до планки портов видеовыходов.
В1 – ширина печатной платы, без учета контактов PCI-E, но с замером системы охлаждения (если выходит за пределы печатной платы).
С1 – высота, с учетом задней пластины (если есть) или винтов крепления радиатора до уровня верхней поверхности системы охлаждения. Если она ниже высоты задней планки портов видеовыходов, то измеряется высота до верхней точки планки.

Gainward GeForce GTX 970 Phantom вплоть до последнего винтика является собственной разработкой компании. Никаких вам референсных СО и печатных плат. Отчасти это связано с отсутствием эталонной платы Nvidia, вернее она рекомендует своим партнерам самостоятельно разрабатывать дизайн или копировать GeForce GTX 980.

Модель Phantom очень простая на первый взгляд видеокарта, лишенная каких-либо изысков в виде оригинальной решетки или нестандартного набора портов. Хотя последнее не совсем верно, ведь теперь модно оставлять единственный DVI порт, вместо двух. С другой стороны, комплект можно считать полноценным и полным из-за присутствия трех mini DisplayPort и одного MiniHDMI.

Печатная плата

Печатная плата, как и следовало ожидать, полностью оригинальная, но использующая систему преобразования на основе Dr.MOS микросхем. При этом ее размеры удивляют. Создается впечатление, что перед нами отнюдь не топовая или предтоповая видеокарта, а аналог среднего сегмента. Добавим, что из-за короткой длины фазы питания переехали на переднюю часть платы.

Дроссели на первый взгляд нормальные, но подозрение снимать с них не будем до момента проведения стресс-тестирования. Суммарный запас по питанию – средний, всего четыре фазы и 6+6pin разъемы.

Но и этого хватит, чтобы соответствовать жестким требованиям Nvidia. Увы, версия Phantom в данном случае стала проще, и теперь на ней отсутствуют площадки для измерения напряжений: PLL, Vgpu и Vram. Так же, как и нет способов отключить защиты OCP и OV. Помните, как ранее в заводском исполнении Gainward заклеивала их гарантийным стикером?

Фазы питания графического процессора управляются ШИМ-контроллером – NCP81174, пришедшим сюда с референсной видеокарты. Отметим, что он не поддерживает широкий перечень модных технологий и прост как автомат Калашникова. Все манипуляции с напряжением происходят в драйверах, ими же контролируются и показатели устройства.

Восемь микросхем памяти производства Samsung распаяны с фронтальной стороны. Они рассчитаны на частоту до 1750 МГц (эффективная частота 7000 МГц), ширина шины равна 256 бит. Память на ускорителях GeForce GTX 970/980 обычно отлично разгоняется до 1900-2000 МГц.

Графическое ядро Maxwell выпущено в августе 2014 года. Номинальные частоты видеокарты составляют 1152 МГц (GPU Boost до 1304 МГц) для GPU и 1750 МГц для памяти.

Несколько странно выглядит большая разница между базовой и Boost частотой. Обычно она раза в два меньше. Неужели мы увидим пляски GPU? Не хочется в это верить, и надеемся на лучшее.

Система охлаждения

Необычный вид радиатора – отличительная черта СО серии Gainward Phantom. Вентиляторы на ней находятся за ребрами, а не спереди, как обычно.

Модули памяти всегда остаются без пассивного охлаждения. Стоит рассчитывать только на воздух, поступающий от вентиляторов. Причем его объем ничтожен из-за небольшого диаметра используемых вертушек. Ну а система питания охлаждается привычным компактным радиатором. Вряд ли он в состоянии отвести все тепло.

С обратной стороны к видеокарте крепится защитная пластина, по совместительству выполняющая роль сопротивления на изгиб. Непонятно, почему часть ее винтов расположили спереди, а один сзади.

В основании радиатора находятся четыре тепловых трубки, расходящиеся в разные стороны. Причем выемок под вентиляторы нет.

Если подсчитать полезный объем площади теплоотдачи и прибавить размеры вентиляторов, то Gainward поступила нелогично, перевернув местами части. При традиционной схеме СО должна поместиться в привычные два слота, а в радиаторе пришлось бы сделать углубления для вертушек. Зато видеокарта, изменив традициям, обрела привлекательный и узнаваемый вид.

Внутри СО тепловые трубки контактируют с основанием всего на 50%. В таком виде стоит ожидать снижения эффективности теплопередачи.

Производитель побеспокоился об удобстве очистки системы охлаждения. Откручиваете вручную винт и вынимаете по салазкам вентилятор.

Экономия должна быть экономной, или санкции подействовали? Почему длина кабеля всего 2 см? В результате при демонтаже СО вынуть его из разъема очень сложно и неудобно.

Как следствие, общая оценка системы охлаждения – семь баллов из десяти.

Тестовый стенд

Для тестирования видеокарты Gainward GeForce GTX 970 Phantom использовалась следующая конфигурация:

  • Материнская плата: ASUS Maximus VII Hero (Intel Z97, LGA 1150);
  • Процессор: Intel Core i7-4790К 4200 МГц (100 МГц х 42, 1.25 В);
  • Система охлаждения: система водяного охлаждения;
  • Термоинтерфейс: Arctic Cooling МХ-2;
  • Оперативная память: Corsair Vengeance 2400 МГц, 2 x 8 Гбайт, (10-12-12-31-1T, 1.65 В);
  • Накопитель SSD: Corsair Force Series GT, 128 Гбайт;
  • Блок питания: Corsair AX1200i Digital, 1200 Ватт;
  • Аудиокарта: ASUS Xonar Essence STX;
  • Операционная система: Microsoft Windows 7 x64 SP1.

Перечень контрольно-измерительных приборов и инструментов

  • Шумомер: Center 320;
  • Мультиметр: Fluke 289;
  • Тарификатор электроэнергии: E305EMG.

Инструментарий и методика тестирования

Для корректного замера температуры и шума использовались приведенные ниже условия. Помещение, внутри которого располагается система автоматической поддержки климатических условий. В данном случае уровень температуры был установлен на отметке 24°C +/-1°C. За точностью соблюдения заданных параметров наблюдало четыре датчика, один из которых находился в 5 см от вентилятора системы охлаждения видеокарты и был ведущим. По нему происходила основная коррекция температуры в помещении.

Шум измерялся на расстоянии 50 см до видеокарты. Фоновый уровень составлял менее 20 дБА. В качестве жесткого диска использовался SSD, а блок питания, помпа, радиатор с вентиляторами во время замера находились за пределами комнаты. На стенде отсутствовали иные комплектующие, издающие какие-либо шумы.

Видеозапись системы охлаждения производилась на расстоянии ~10 см от вентилятора. Первые 5-10 секунд без нагрузки в режиме простоя, далее включалась 100% нагрузка с помощью программы Unigine Heaven Benchmark v4.0. Наибольший уровень шума достигается в конце аудиозаписи. Заранее определялся температурный режим и шум, чтобы в процессе записи аудиодорожки вы смогли услышать именно максимальный шум. В процессе просмотра видеороликов можно выделить тембр и характер звуков, издаваемых системой охлаждения. Предупреждаю вас, что звук на них сильно приукрашен, то есть ощущается сильнее, чем есть на самом деле.

Уровень потребления электричества в простое оценивался по показаниям тарификатора E305EMG сразу после загрузки операционной системы. Значения, отображаемые на графике, соответствуют минимально достигнутым цифрам с прибора. Под нагрузкой видеокарты тестировались программой Unigine Heaven Benchmark v4.0. После 10-15 минут температура и обороты вентилятора достигали своего теоретического максимума, после чего данные заносились в таблицу.

Температура силовых цепей измерялась путем установки термодатчика в пространство между радиатором и термопрокладкой в самое нагруженное место. Если радиатор отсутствует, то датчик крепился на самое горячее место, определяемое пирометром заранее.

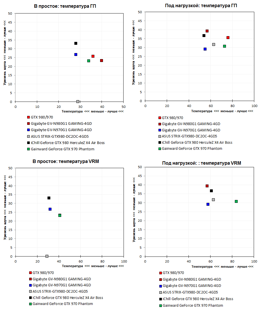
Исследование потенциала системы охлаждения

Пояснения к графикам:

  • Красная линия – максимальная температура.
  • Синяя – в режиме простоя.
  • Черная линия показывает уровень издаваемого шума, при определенных оборотах вентилятора.
  • Пунктирная линия указывает на диапазон регулировки в автоматическом режиме вентилятора.

В процентах указана скорость вентилятора/ов, выставленная в MSI Afterburner, начиная от 20% (иногда от 10%, когда это позволяет PWM вентилятора/ов; для видеокарт Nvidia от 35% или меньше, когда это позволяет PWM вентилятора/ов) до 100%, с шагом 5%. Таким образом, чтобы понять, насколько нагреется видеокарта, и как сильно она будет шуметь, скажем, при 50% скорости вентилятора, достаточно провести вертикальную линию через отметку 50%. В местах пересечения получаем три значения: с красной линией – максимальную температуру в нагрузке, с синей – температуру в простое, с черной – уровень шума.

Все видеокарты тестировались с заводскими частотами.

Температуры графического ядра/системы питания и обороты вентилятора/ов.

Несмотря на сравнительно небольшое тепловыделение, радиатор с четырьмя тепловыми трубками работает на износ. Это связано с низкими оборотами вентиляторов. В угоду акустическому комфорту в Gainward решили пойти на компромисс. Допустим, мы согласимся с этим, но что делать с системой питания? 80 с лишним градусов Цельсия под нагрузкой – это слишком много. Да, Dr.MOS выдерживают и большие температуры, но на здоровье устройства это рано или поздно скажется.

В целом становится понятно, куда двигались инженеры, а как это поправить и возможно ли вообще? Увы, но без замены радиатора VRM проблему не решить. Так что будьте осторожны и следите за нагревом Dr.MOS микросхем.

Gainward GeForce GTX 970 Phantom

Для корректного сравнения необходимо прослушивать все видеозаписи на одном уровне громкости. Сравнение относительное, а не абсолютное.

Шум от видеокарты небольшой, но в некоторых режимах можно услышать писк дросселей. Причиной стал запуск приложения Unigine Heaven Benchmark, которое вызывает писк дросселей в гипертрофированном виде, а также выключенный Vsync. И наконец – необходимо учитывать чувствительность микрофона, которая раза в два выше нормальной.

Сводный анализ производительности систем охлаждения

Соотношение температуры и шумности в автоматическом режиме.

Разгон

Разгон в случае GeForce GTX 970/ GTX 980 стал занятием для ленивых пользователей. Ничего большего кроме как добавлять энергопотребление и напряжение в рамках дозволенного нам не позволили.

Попытки увеличить базовое энергопотребление модификацией BIOS допустимы, но лимиты напряжений остаются неизменными. Поэтому весело двигаем ползунки к максимальным значениям и проверяем частоту.

Уровень потребляемого электричества

Энергопотребление, Вт
Среднее | Максимальное

Результаты Metro: Last Light

Настройки:

  • DirectX 11;
  • Разрешение – 2560х1440;
  • Продвинутый PhysX – выключен;
  • Улучшенная глубина резкости – выключена;
  • Тесселяция – Normal;
  • Качество – Very High;
  • Motion Blur – Normal;
  • Полноэкранное сглаживание – SSAA;
  • Анизотропная фильтрация (AF) – 16x.

Кадры/с

Мин.|Средн.
2560x1440

Уровень разгона героя обзора можно назвать средним. Обычно частота 1500 МГц покоряется всем, но нынче нам не повезло. Даже память застряла на стандартной частоте – 1900 МГц.

В итоге это позволило версии Gainward на равных побороться с референсной моделью GeForce GTX 980, что само по себе является отличным показателем. Осталось уточнить, как видеокарта Phantom вела себя на протяжении тестов.

Детальные данные

Для оценки поведения участников обзора в номинальном режиме и при разгоне обратимся к тесту Metro: Last Light, проведенному шесть раз, и параллельно соберем данные, которые затрагивают графическое ядро, память, энергопотребление и температуры. После объединения полученных результатов в единых графиках можно видеть, насколько точно соответствуют заводские характеристики реальным цифрам и что происходит с важными показателями при разгоне.

Частота ядра и стабильность GPU Boost.

BIOS хоть и подвергся модернизации, но исключительно по частотами. В нем нет ни подстроенного значения TDP, ни повышенного напряжения. Формально Gainward соблюла все договоренности с Nvidia, и проблем с выяснением отношений не будет. Хотя фактически инженеры компании все же оставили небольшой запас для разгона.

Но если честно, при взгляде на конкурентов хотелось бы получить немного больше, как минимум – расширенный диапазон TDP. Тогда бы и частоты не прыгали.

Частота памяти.

Память на GeForce GTX 970 так же участвует в распределении общего TDP. Но ее частота не бегает, а стабильно держится на требуемом уровне. Если из-за памяти будет превышение TDP, то видеокарта просто виснет.

Напряжение vGPU.

В разгоне мы вручную повышаем напряжение на 0.087 В, но оно постоянно подстраивается под ограничение в рамках технологии GPU Boost, заложенной в BIOS.

Температура GPU.

Низкий уровень шума версии Gainward автоматически означает работу видеокарты близко к предельной температуре. Де-факто для всех GeForce GTX 980/ GTX 970 порог обычно начинается с 79-81°C.

Энергопотребление.

Nvidia жестко регламентирует энергопотребление, и некоторые производители не хотят препятствовать этому. Тестируемая видеокарта Phantom полностью разделяет это правило, не переступая черту.

Обороты вентиляторов.

Заключение

Модель Gainward GeForce GTX 970 Phantom оставила неоднозначные впечатления. С одной стороны, она полностью соответствует требованиям и правилам Nvidia. Видеокарта мало шумит, не превышает значение TDP, присутствует небольшой запас по разгону. Но с другой – больше ничего положительного и нет, за исключением привлекательной и необычной системы охлаждения.

Возможно, многих пользователей вполне устроит низкий уровень шума и стабильная работа Gainward GeForce GTX 970 Phantom. Другим же от видеокарты, позиционируемой как топовое решение, хочется большего, и им стоит обратить внимание на иные модели GeForce GTX 970.

Дмитрий Владимирович


Выражаем благодарность:

  • Компании It-labs.ru за предоставленную на тестирование видеокарту Gainward GeForce GTX 970 Phantom.
  • А также лично donnerjack.