
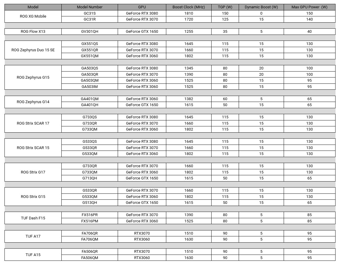
По запросу портала Tweakers компания ASUS решила раскрыть полные спецификации мобильных графических процессоров серии GeForce RTX 3000 для всей линейки своих ноутбуков. Как известно, имея графические процессоры серии NVIDIA GeForce RTX 3000 в составе своих ноутбуках, производители не обязаны указывать значения TGP и внутри мобильного компьютера может находиться любой графический процессор, как в варианте Max-Q так и Max-P. Это обстоятельство сбивает с толку обычного потребителя, который не особо разбирается в компьютерных комплектующих и просто собрался приобрести себе новый игровой ноутбук. А, между тем, вариант компьютера с графическим процессором, который они получили, мог быть значительно медленнее, чем они того ожидали. Поэтому, чтобы избежать путаницы, компания ASUS решила предоставить таблицу значений TGP и частот графических процессоров в своих ноутбуках. Компания ASUS не только опубликовала таблицу TGP и частот, но и обновила свой веб-сайт, чтобы отразить точный TDP и точную частоту любого графического процессора, используемого в ноутбуке, чтобы избежать путаницы и дать потребителям уверенность в правильности сделанной покупки. Ниже можно ознакомиться с данной таблицей.


