Приблизительный расчет теплопроводимости контакта двух металлических поверхностей
Локальное вступление.
<br/> Как было сказано раньше, две боковые стенки корпуса НЖМД контактируют со стенками корзины, в которую он установлен. Важно заметить, что контактирующие поверхности не есть ровными и при увеличении выглядят где-то так:
<br/><img src="//st.overclockers.ru/legacy/v1/211063.jpg" border="1" vspace="3">
<br/>Видно, что непосредственный контакт между металлическим поверхностями есть далеко не везде, а поэтому руководствоваться одной лишь кондуктивной теплопроводностью нельзя.
<br/>В пустотах, где нет непосредственного контакта, теплопроводность будет проходить за счет конвекции и излучения. Поскольку в большинстве случаев винчестер закреплен болтами, токонтактирующие поверхности находятся под давлением.
<br/> Далее будет показан способ приблизите...
Локальное вступление.
Как было сказано раньше, две боковые стенки корпуса НЖМД контактируют со стенками корзины, в которую он установлен. Важно заметить, что контактирующие поверхности не есть ровными и при увеличении выглядят где-то так:
Видно, что непосредственный контакт между металлическим поверхностями есть далеко не везде, а поэтому руководствоваться одной лишь кондуктивной теплопроводностью нельзя.
В пустотах, где нет непосредственного контакта, теплопроводность будет проходить за счет конвекции и излучения. Поскольку в большинстве случаев винчестер закреплен болтами, токонтактирующие поверхности находятся под давлением.
Далее будет показан способ приблизительного вычисления полной теплопроводимости контакта двух металлических поверхностей [1]. Он подходит для неоднократно нагружаемых поверхностей (подразумевается, что НЖМД снимался и устанавливался в корзину не один раз, что в большинстве случаев так и есть).
Необходимая информация
1. Материал контактируемых поверхностей.
Корпус НЖМД – алюминиевый сплав, скорее всего что-то подобное на АЛ9. Для удобства – свойства АЛ9:
- теплопроводность
- модуль упругости
Материал корзины для винчестеров – хз, сталь какая-то. Допустим, что корзина сделана из того же материала, что и корпус НЖМД.
2. Чистота обработки контактирующих поверхностей.
Согласно ГОСТ 2789-59 шероховатости поверхности при литье под давлением отвечает 4 классу. Среднеарифметическое отклонение профиля шероховатости
3. Температура в зоне контакта Тк = 39+273 = 312 К
5.Теплопроводность воздуха
при температуре 273 К
_____________________________________________________________________________________
Расчет
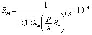
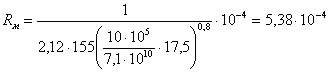
1.Термическое сопротивление фактического контакта.
(1)
Определим Вп , исходя из среднего значения шероховатости используя график на рис.3-3.

hср1 = hср2 = Ra = 10 мкм, тогда Вп ≈ 17,5. Подставим полученное значение в формулу (1):
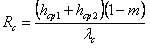
2.Термическое сопротивление межконтактной воздушной прослойки. (ф-ла справедлива только до 7 класса чистоты поверхности):
(2)

Определим значение (1-m) для hср = Ra = 10 мкм. Согласно графику на рис. 3-8 (1-m) = 0.5. Тогда
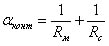
3.Полная теплопроводимость контакта.
Обратно пропорциональна тепловому сопротивлению
(3)
В нашем случае:

Литература.
1. В. М. Попов - Теплообмен в зоне контакта разъемных и неразъемных соединений, М.: Энергия, 1971.
Для более глубокого изучения вопроса можно обратиться к Шлыков. Ганин, Царевский - Контактное термическое сопротивление, М.: Энергия, 1977.
Пожелания, дополнения и коментарии направляйте сюда: trenodock@rambler.ru
rev. 2
Как было сказано раньше, две боковые стенки корпуса НЖМД контактируют со стенками корзины, в которую он установлен. Важно заметить, что контактирующие поверхности не есть ровными и при увеличении выглядят где-то так:
Видно, что непосредственный контакт между металлическим поверхностями есть далеко не везде, а поэтому руководствоваться одной лишь кондуктивной теплопроводностью нельзя.
В пустотах, где нет непосредственного контакта, теплопроводность будет проходить за счет конвекции и излучения. Поскольку в большинстве случаев винчестер закреплен болтами, токонтактирующие поверхности находятся под давлением.
Далее будет показан способ приблизительного вычисления полной теплопроводимости контакта двух металлических поверхностей [1]. Он подходит для неоднократно нагружаемых поверхностей (подразумевается, что НЖМД снимался и устанавливался в корзину не один раз, что в большинстве случаев так и есть).
Необходимая информация
1. Материал контактируемых поверхностей.
Корпус НЖМД – алюминиевый сплав, скорее всего что-то подобное на АЛ9. Для удобства – свойства АЛ9:
- теплопроводность

- модуль упругости

Материал корзины для винчестеров – хз, сталь какая-то. Допустим, что корзина сделана из того же материала, что и корпус НЖМД.
2. Чистота обработки контактирующих поверхностей.
Согласно ГОСТ 2789-59 шероховатости поверхности при литье под давлением отвечает 4 классу. Среднеарифметическое отклонение профиля шероховатости
3. Температура в зоне контакта Тк = 39+273 = 312 К
5.Теплопроводность воздуха

при температуре 273 К _____________________________________________________________________________________
Расчет
1.Термическое сопротивление фактического контакта.
(1) Определим Вп , исходя из среднего значения шероховатости используя график на рис.3-3.

hср1 = hср2 = Ra = 10 мкм, тогда Вп ≈ 17,5. Подставим полученное значение в формулу (1):
2.Термическое сопротивление межконтактной воздушной прослойки. (ф-ла справедлива только до 7 класса чистоты поверхности):
(2) 
Определим значение (1-m) для hср = Ra = 10 мкм. Согласно графику на рис. 3-8 (1-m) = 0.5. Тогда
3.Полная теплопроводимость контакта.
Обратно пропорциональна тепловому сопротивлению
(3) В нашем случае:

Литература.
1. В. М. Попов - Теплообмен в зоне контакта разъемных и неразъемных соединений, М.: Энергия, 1971.
Для более глубокого изучения вопроса можно обратиться к Шлыков. Ганин, Царевский - Контактное термическое сопротивление, М.: Энергия, 1977.
Пожелания, дополнения и коментарии направляйте сюда: trenodock@rambler.ru
rev. 2
Лента материалов
Правила размещения комментариев
Соблюдение Правил конференции строго обязательно!
Флуд, флейм и оффтоп преследуются по всей строгости закона!
Комментарии, содержащие оскорбления, нецензурные выражения (в т.ч. замаскированный мат), экстремистские высказывания, рекламу и спам, удаляются независимо от содержимого, а к их авторам могут применяться меры вплоть до запрета написания комментариев и, в случае написания комментария через социальные сети, жалобы в администрацию данной сети.

