Обзор и тестирование видеокарты ASUS GeForce GTX 970 Strix OC (Strix-GTX970-DC2OC-4GD5) (страница 2)
Тестовый стенд
Для тестирования видеокарты ASUS GeForce GTX 970 Strix OC использовалась следующая конфигурация:
- Материнская плата: ASUS Maximus VII Hero (Intel Z97, LGA 1150);
- Процессор: Intel Core i7-4790К 4200 МГц (100 МГц х 42, 1.25 В);
- Система охлаждения: система водяного охлаждения;
- Термоинтерфейс: Arctic Cooling МХ-2;
- Оперативная память: Corsair Vengeance 2400 МГц, 2 x 8 Гбайт, (10-12-12-31-1T, 1.65 В);
- Накопитель SSD: Corsair Force Series GT, 128 Гбайт;
- Блок питания: Corsair AX1200i Digital, 1200 Ватт;
- Аудиокарта: ASUS Xonar Essence STX;
- Операционная система: Microsoft Windows 7 x64 SP1.
Перечень контрольно-измерительных приборов и инструментов
- Шумомер: Center 320;
- Мультиметр: Fluke 289;
- Тарификатор электроэнергии: E305EMG.
Инструментарий и методика тестирования
Для корректного замера температуры и шума использовались приведенные ниже условия. Помещение, внутри которого располагается система автоматической поддержки климатических условий. В данном случае уровень температуры был установлен на отметке 24°C +/-1°C. За точностью соблюдения заданных параметров наблюдало четыре датчика, один из которых находился в 5 см от вентилятора системы охлаждения видеокарты и был ведущим. По нему происходила основная коррекция температуры в помещении.
реклама
Шум измерялся на расстоянии 50 см до видеокарты. Фоновый уровень составлял менее 20 дБА. В качестве жесткого диска использовался SSD, а блок питания, помпа, радиатор с вентиляторами во время замера находились за пределами комнаты. На стенде отсутствовали иные комплектующие, издающие какие-либо шумы.
Видеозапись системы охлаждения производилась на расстоянии ~10 см от вентилятора. Первые 5-10 секунд без нагрузки в режиме простоя, далее включалась 100% нагрузка с помощью программы Unigine Heaven Benchmark v4.0. Наибольший уровень шума достигается в конце аудиозаписи. Заранее определялся температурный режим и шум, чтобы в процессе записи аудиодорожки вы смогли услышать именно максимальный шум. В процессе просмотра видеороликов можно выделить тембр и характер звуков, издаваемых системой охлаждения. Предупреждаю вас, что звук на них сильно приукрашен, то есть ощущается сильнее, чем есть на самом деле.
Уровень потребления электричества в простое оценивался по показаниям тарификатора E305EMG сразу после загрузки операционной системы. Значения, отображаемые на графике, соответствуют минимально достигнутым цифрам с прибора. Под нагрузкой видеокарты тестировались программой Unigine Heaven Benchmark v4.0. После 10-15 минут температура и обороты вентилятора достигали своего теоретического максимума, после чего данные заносились в таблицу.
Температура силовых цепей измерялась путем установки термодатчика в пространство между радиатором и термопрокладкой в самое нагруженное место. Если радиатор отсутствует, то датчик крепился на самое горячее место, определяемое пирометром заранее.
Исследование потенциала системы охлаждения
Пояснения к графикам:
- Красная линия – максимальная температура.
- Синяя – в режиме простоя.
- Черная линия показывает уровень издаваемого шума, при определенных оборотах вентилятора.
- Пунктирная линия указывает на диапазон регулировки в автоматическом режиме вентилятора.
В процентах указана скорость вентилятора/ов, выставленная в MSI Afterburner, начиная от 20% (иногда от 10%, когда это позволяет PWM вентилятора/ов; для видеокарт Nvidia от 35% или меньше, когда это позволяет PWM вентилятора/ов) до 100%, с шагом 5%. Таким образом, чтобы понять, насколько нагреется видеокарта, и как сильно она будет шуметь, скажем, при 50% скорости вентилятора, достаточно провести вертикальную линию через отметку 50%. В местах пересечения получаем три значения: с красной линией – максимальную температуру в нагрузке, с синей – температуру в простое, с черной – уровень шума.
реклама
Все видеокарты тестировались с заводскими частотами.
Температуры графического ядра/системы питания и обороты вентилятора/ов.
Отличный результат! Оказывается, ASUS GeForce GTX 970 Strix OC не только бесшумная при частичных нагрузках, но и при продолжительной работе выдает всего 24.7 дБА. Чтобы оценить это значение, можно провести аналогию с хорошей СВО на расстоянии метра. И тембр, и характер шума неназойлив, и не мешают наслаждаться тишиной.
Расплата приходит со стороны результатов охлаждения VRM. Маленький радиатор, компактное и плотное размещение фаз питания – получите и распишитесь за 80°C под нагрузкой. Возможно, инженерам стоило уделить больше внимания этой зоне, и либо увеличить площадь рассеивания, либо (как мне видится) пропустить тепловую трубку от VRM к основному радиатору к краю. Там и лопасти вентилятора задействуются, и отверстия для отвода тепла близко расположены.
Шум от видеокарты практически отсутствует, лишь в некоторых режимах можно услышать писк дросселей. Причиной стал запуск приложения Unigine Heaven Benchmark, которое вызывает писк дросселей в гипертрофированном виде, а также выключенный Vsync. И наконец – необходимо учитывать чувствительность микрофона, которая раза в два выше нормальной.
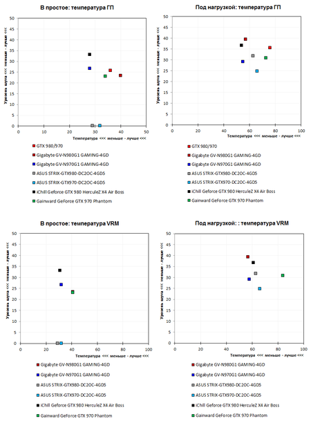
Сводный анализ производительности систем охлаждения
Соотношение температуры и шумности в автоматическом режиме.
Разгон
После появления обновленной версии BIOS Tweaker с поддержкой Maxwell дело понемногу пошло в гору. Благо компания Nvidia чуть позже выложила обновленный «прошивальщик», и энтузиасты с рвением взялись за редактирование BIOS. Первой пала защита по уровню энергопотребления, а потом и максимальное напряжение. Задачу облегчал типовой ШИМ-контроллер, устанавливаемый почти на все GeForce GTX 970/ GTX 980.
Разъясню вам, как правильно изменять настройки в BIOS и как править неправильно внесенные производителем в него данные.
Да, чуть не забыл, мне до сих пор приходится сталкиваться с криво заполненными полями энергопотребления BIOS видеокарт некоторых вендоров. Смешно, не правда ли? Как можно на пустом месте испортить референсную прошивку, когда в нее надо всего лишь внести свои данные – корректно и без изменения статичных настроек.
реклама
Итак, приступим к базовым референсным значениям.
Номинальный уровень TDP – это максимальное энергопотребление видеокарты, заметьте, не постоянное, а абсолютно максимальное и редко достижимое в реальных задачах. Видеокарта лишь кратковременно может приближаться к нему.
Power Target – это основные переменные при работе видеокарты. Def – количество ватт при нормальной работе. В него включен Boost, но не прибавляется запас свыше 100% Power Target и температуры. Другими словами, это типичное энергопотребление видеокарты в любых игровых приложениях. Max – теоретический максимум в ваттах, допустимый для разгона. Именно этой переменной задается максимальное TDP в утилитах для разгона. Оба значения не могут быть выше номинального TDP.
Как считать:
- Значение Power Target Def всегда должно быть меньше или равно сумме PCI-e Def, первого разъема 6/8pin Def и второго разъема 6/8pin Def.
- Значение Power Target Max всегда должно быть меньше или равно сумме PCI-e Max, первого разъема 6/8pin Max и второго разъема 6/8pin Max.
- Номинальное TDP всегда должно быть больше или равно любому значению Power Target Def и Power Target Max.
Осталось совсем немного – поправить Voltage Table. Но делать это необязательно, 1.3 В для Maxwell и воздушного охлаждения избыточно. Лично я предпочитаю оставаться в пределах заводского лимита напряжения, а это +0.087 В к номинальному значению, и его, представьте себе, хватает для разгона до 1550 МГц.
Посмотрим, какие изменения внесли инженеры ASUS в BIOS видеокарты GeForce GTX 970 Strix OC. Номинальное энергопотребление – 165 Вт, максимальное в разгоне с Boost – до 196 Вт. С 8pin разъема тестируемая модель снимает от 150 до 160 Вт. Можно и больше, при использовании хорошего блока питания с легкой руки выставляйте значение 200 Вт (ориентировочно 17 А).
Уровень потребляемого электричества
Среднее | Максимальное
Включите JavaScript, чтобы видеть графики
Полагаю, комментариев здесь не требуется.
Страницы материала
Лента материалов раздела
Соблюдение Правил конференции строго обязательно!
Флуд, флейм и оффтоп преследуются по всей строгости закона!
Комментарии, содержащие оскорбления, нецензурные выражения (в т.ч. замаскированный мат), экстремистские высказывания, рекламу и спам, удаляются независимо от содержимого, а к их авторам могут применяться меры вплоть до запрета написания комментариев и, в случае написания комментария через социальные сети, жалобы в администрацию данной сети.


Комментарии Правила