FAQ по Super_PI
FAQ по Super Pi
<br/>
<br/>
<br/>Начнем с истории программы:
<br/>
<br/>Программа была разработана в 1995 году в университете Токио «Информационная наука» (области исследования лаборатории: высокая производительность современных систем с применением компьютерной алгебры). Процессом разработки руководили доценты Yasumasa KANADA и Akira YOSHIOKA, активное участие принимали студенты - дипломанты этого университета. Первая версия имела название Super Pi 0.1М, версия, которая вышла в свет - Super Pi 1.0.
<br/>
<br/>Немного из истории вычисления числа Пи с помощью компьютеров:
<br/>
<br/>Первым рассчитал число Пи с помощью ЭВМ G.W. Reitwiesne в 1949 году, расчетная длина состави...
FAQ по Super Pi
Начнем с истории программы:
Программа была разработана в 1995 году в университете Токио «Информационная наука» (области исследования лаборатории: высокая производительность современных систем с применением компьютерной алгебры). Процессом разработки руководили доценты Yasumasa KANADA и Akira YOSHIOKA, активное участие принимали студенты - дипломанты этого университета. Первая версия имела название Super Pi 0.1М, версия, которая вышла в свет - Super Pi 1.0.
Немного из истории вычисления числа Пи с помощью компьютеров:
Первым рассчитал число Пи с помощью ЭВМ G.W. Reitwiesne в 1949 году, расчетная длина составила 2,037. Вычисления производились на компьютере ENIAC.
Первый рассчет до 500,000 десятичных знаков после запятой произвели J. Guilloud & M. Dichampt в 1967 году на компьютере CDC 6600.
После этого, в 1973 году было вычислено 1,001,250 десятичных знаков - J. Guilloud & M. Bouyer на компьютере CDC 7600.
В данный момент рекорд мира поставлен Токийским университетом «Информационная наука», D. Takahashi & Y. Kanada 1995 год, 4,294,960,000 (вдумайтесь в это число!), используемый компьютер HITAC S-3800/480(2 CPU)
С момента выхода программы оверклокеры всего мира соревнуються, у кого быстрее выйдет посчитать число Пи до определенного значения десятичных цифр после запятой. Для этого и существует программа Super_Pi.
Как работает Super_Pi:
В программе реализованы два ключевых алгоритма:
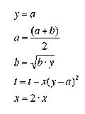
первый - Gauss-Legendre (используется программой для вычисления числа Пи):
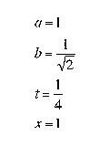
Начальное значение
Повторяються следующие значение, пока разница и b, будут в пределах желательной точности
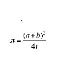
Пи приближено, b и t, как:
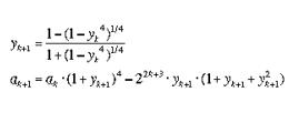
и [color=red]второй[/color] - (Borwein) - (сходящийся в точке алгоритм):
Начальное значение
Повторяються следующие значение, пока разница и «к», будут в пределах желательной точности.
[n] Пи приближено, как:
История версий Super_PI и ссылки::
Super Pi 1.1 – версия, не защищенная от взлома и коррекции результатов при регистрации (в данный момент регистрация результатов этой версии не доступна)
Super Pi 1.4 Modded + Checksum Validation – модифицирована версия 1.1: добавлена защита от взлома и коррекции результатов; фиксация времени вычисления с точностью до тысячных секунды и регистрация достижений на сайте.
Super Pi mod XS -1.5 – модифицированная версия 1.4 с улучшеным алгоритмом вычисления числа Пи (улучшенная последовательность действий) + регистрация результатов на сайте XS.
Super Pi SSE2 – версия 1.1 с поддеркжой SSE2
Super Pi SSE3 - то же, но для SSE3
Общие советы для оптимизации и достижения максимального результата:
Ссылки на статьи:
Руководство по настройке Windows2000/XP/2003
Настройка сервисов в Windows2000/XP/2003
SuperPI & bios
Оптимизация системы под SuperPi 1M или первые две секунды бесплатно!
Общие советы по аппаратной оптимизации для достижения максимального результата:
Результат напрямую зависит от частоты процессора - чем выше-тем лучше ;-) . Далее по важности идет частота и тайминги памяти. Для процессоров Intel приоритетна высокая частота памяти, а для AMD (в связи с тем, что контроллер памяти интегрирован в процессор) низкие тайминги. Следует отметить, что при подсчете с большей точностью (16М, 32М) рекомендуется наличие большого объёма оперативной памяти. Очень рекомендуется включить двухканальный режим доступа к памяти, если его поддерживает контроллер памяти вашей МП или вашего ЦП. Кроме того, рекомендуется провести дефрагментацию дисковой подсистемы памяти для улучшения результата в режиме 32М. При работе на пределе разгона процессора нередко случается ошибка с остановкой вычисления; для исправления ситуации необходимо удалить все файлы из каталога программы, за исключением .exe и .txt, и прогнать тест ещё раз. Также необходимо поставить приоритет "реального времени" для SuperPi в диспетчере задач.
Советы по оптимизации и установке Windows
Нам нужна файловая система NTFS (так как данный бенчмарк используют далеко не на самой стабильной системе, нам приоритетна высокая надёжность файловой подсистемы) с максимальным размером кластера в разделе жесткого диска.
После форматирования нужно будет создать там файл общим объемом 512/1024мб в зависимости от объема оперативной памяти для того, чтоб потом файл подкачки можно было бы оставить в начале диска. Дальше мы и будем устанавливать операционную систему, но не просто систему, а предварительно обработанную программой n-Lite. Программа интуитивно понятная, удалять нужно все, что не является жизненно важным.
Если нет знаний в сервисах - можно о них больше узнать здесь.
После того, как мы установили операционную систему, делаем файл подкачки нулевым и перезагружаемся. Далее удаляем тот большой файл и ставим фиксированный размер свопа и перегружаемся. И только после этого дефрагментируем все из режима safe-mode или другой операционки.
Далее о специальных твиках под конкретную операционку, о которых можно просто прочитать здесь.
Для подсчета 4М и выше все тоже самое, но нужно установить программу RamDrive, на созданный диск которой нужно будет переместить файлы SuperPi. Это делается потому, что при вычислениях производится запись в текстовый файл (всех тех самых чисел после запятой), и это существенно тормозит общий процесс подсчета.
Последний этап.
Итак, мы сделали все предварительные твики и начинаем тестировать, но перед загрузкой нужно установить параметр maxmem.
Загружаться надо в Diagnostic Boot Mode (run --> msconfig --> diagnostic boot mode).
После этого нужно выставить real-time приоритет для процесса Super_Рi в диспетчере задач.
Далее закрыть exploler(позже его можно будет вновь запустить из того же диспетчера задач).
В итоге у вас должно получиться выделение памяти примерно 27Мb.
Прогоняем тест и запускаем exploler.
Мировые рекорды по Super Pi Вы найдете здесь
Автор:
InTelFataLYtiAmD, *Cofradia Intel*
Редакторы:
mike02
TheJudge
Foxtrot
DZhon
White
Все замечания, поправки и предложения вы можете оставить тут
Начнем с истории программы:
Программа была разработана в 1995 году в университете Токио «Информационная наука» (области исследования лаборатории: высокая производительность современных систем с применением компьютерной алгебры). Процессом разработки руководили доценты Yasumasa KANADA и Akira YOSHIOKA, активное участие принимали студенты - дипломанты этого университета. Первая версия имела название Super Pi 0.1М, версия, которая вышла в свет - Super Pi 1.0.
Немного из истории вычисления числа Пи с помощью компьютеров:
Первым рассчитал число Пи с помощью ЭВМ G.W. Reitwiesne в 1949 году, расчетная длина составила 2,037. Вычисления производились на компьютере ENIAC.
Первый рассчет до 500,000 десятичных знаков после запятой произвели J. Guilloud & M. Dichampt в 1967 году на компьютере CDC 6600.
После этого, в 1973 году было вычислено 1,001,250 десятичных знаков - J. Guilloud & M. Bouyer на компьютере CDC 7600.
В данный момент рекорд мира поставлен Токийским университетом «Информационная наука», D. Takahashi & Y. Kanada 1995 год, 4,294,960,000 (вдумайтесь в это число!), используемый компьютер HITAC S-3800/480(2 CPU)
С момента выхода программы оверклокеры всего мира соревнуються, у кого быстрее выйдет посчитать число Пи до определенного значения десятичных цифр после запятой. Для этого и существует программа Super_Pi.
Как работает Super_Pi:
В программе реализованы два ключевых алгоритма:
первый - Gauss-Legendre (используется программой для вычисления числа Пи):
Начальное значение
Повторяються следующие значение, пока разница и b, будут в пределах желательной точности
Пи приближено, b и t, как:
и [color=red]второй[/color] - (Borwein) - (сходящийся в точке алгоритм):
Начальное значение
Повторяються следующие значение, пока разница и «к», будут в пределах желательной точности.
[n] Пи приближено, как:
История версий Super_PI и ссылки::
Super Pi 1.1 – версия, не защищенная от взлома и коррекции результатов при регистрации (в данный момент регистрация результатов этой версии не доступна)
Super Pi 1.4 Modded + Checksum Validation – модифицирована версия 1.1: добавлена защита от взлома и коррекции результатов; фиксация времени вычисления с точностью до тысячных секунды и регистрация достижений на сайте.
Super Pi mod XS -1.5 – модифицированная версия 1.4 с улучшеным алгоритмом вычисления числа Пи (улучшенная последовательность действий) + регистрация результатов на сайте XS.
Super Pi SSE2 – версия 1.1 с поддеркжой SSE2
Super Pi SSE3 - то же, но для SSE3
Общие советы для оптимизации и достижения максимального результата:
Ссылки на статьи:
Руководство по настройке Windows2000/XP/2003
Настройка сервисов в Windows2000/XP/2003
SuperPI & bios
Оптимизация системы под SuperPi 1M или первые две секунды бесплатно!
Общие советы по аппаратной оптимизации для достижения максимального результата:
Результат напрямую зависит от частоты процессора - чем выше-тем лучше ;-) . Далее по важности идет частота и тайминги памяти. Для процессоров Intel приоритетна высокая частота памяти, а для AMD (в связи с тем, что контроллер памяти интегрирован в процессор) низкие тайминги. Следует отметить, что при подсчете с большей точностью (16М, 32М) рекомендуется наличие большого объёма оперативной памяти. Очень рекомендуется включить двухканальный режим доступа к памяти, если его поддерживает контроллер памяти вашей МП или вашего ЦП. Кроме того, рекомендуется провести дефрагментацию дисковой подсистемы памяти для улучшения результата в режиме 32М. При работе на пределе разгона процессора нередко случается ошибка с остановкой вычисления; для исправления ситуации необходимо удалить все файлы из каталога программы, за исключением .exe и .txt, и прогнать тест ещё раз. Также необходимо поставить приоритет "реального времени" для SuperPi в диспетчере задач.
Советы по оптимизации и установке Windows
Нам нужна файловая система NTFS (так как данный бенчмарк используют далеко не на самой стабильной системе, нам приоритетна высокая надёжность файловой подсистемы) с максимальным размером кластера в разделе жесткого диска.
После форматирования нужно будет создать там файл общим объемом 512/1024мб в зависимости от объема оперативной памяти для того, чтоб потом файл подкачки можно было бы оставить в начале диска. Дальше мы и будем устанавливать операционную систему, но не просто систему, а предварительно обработанную программой n-Lite. Программа интуитивно понятная, удалять нужно все, что не является жизненно важным.
Если нет знаний в сервисах - можно о них больше узнать здесь.
После того, как мы установили операционную систему, делаем файл подкачки нулевым и перезагружаемся. Далее удаляем тот большой файл и ставим фиксированный размер свопа и перегружаемся. И только после этого дефрагментируем все из режима safe-mode или другой операционки.
Далее о специальных твиках под конкретную операционку, о которых можно просто прочитать здесь.
Для подсчета 4М и выше все тоже самое, но нужно установить программу RamDrive, на созданный диск которой нужно будет переместить файлы SuperPi. Это делается потому, что при вычислениях производится запись в текстовый файл (всех тех самых чисел после запятой), и это существенно тормозит общий процесс подсчета.
Последний этап.
Итак, мы сделали все предварительные твики и начинаем тестировать, но перед загрузкой нужно установить параметр maxmem.
Загружаться надо в Diagnostic Boot Mode (run --> msconfig --> diagnostic boot mode).
После этого нужно выставить real-time приоритет для процесса Super_Рi в диспетчере задач.
Далее закрыть exploler(позже его можно будет вновь запустить из того же диспетчера задач).
В итоге у вас должно получиться выделение памяти примерно 27Мb.
Прогоняем тест и запускаем exploler.
Мировые рекорды по Super Pi Вы найдете здесь
Автор:
InTelFataLYtiAmD, *Cofradia Intel*
Редакторы:
mike02
TheJudge
Foxtrot
DZhon
White
Все замечания, поправки и предложения вы можете оставить тут
Лента материалов
Правила размещения комментариев
Соблюдение Правил конференции строго обязательно!
Флуд, флейм и оффтоп преследуются по всей строгости закона!
Комментарии, содержащие оскорбления, нецензурные выражения (в т.ч. замаскированный мат), экстремистские высказывания, рекламу и спам, удаляются независимо от содержимого, а к их авторам могут применяться меры вплоть до запрета написания комментариев и, в случае написания комментария через социальные сети, жалобы в администрацию данной сети.


Сейчас обсуждают