Обзор и тестирование видеокарты Gainward GeForce GTX 970 Phantom (страница 2)
Тестовый стенд
Для тестирования видеокарты Gainward GeForce GTX 970 Phantom использовалась следующая конфигурация:
- Материнская плата: ASUS Maximus VII Hero (Intel Z97, LGA 1150);
- Процессор: Intel Core i7-4790К 4200 МГц (100 МГц х 42, 1.25 В);
- Система охлаждения: система водяного охлаждения;
- Термоинтерфейс: Arctic Cooling МХ-2;
- Оперативная память: Corsair Vengeance 2400 МГц, 2 x 8 Гбайт, (10-12-12-31-1T, 1.65 В);
- Накопитель SSD: Corsair Force Series GT, 128 Гбайт;
- Блок питания: Corsair AX1200i Digital, 1200 Ватт;
- Аудиокарта: ASUS Xonar Essence STX;
- Операционная система: Microsoft Windows 7 x64 SP1.
Перечень контрольно-измерительных приборов и инструментов
- Шумомер: Center 320;
- Мультиметр: Fluke 289;
- Тарификатор электроэнергии: E305EMG.
Инструментарий и методика тестирования
Для корректного замера температуры и шума использовались приведенные ниже условия. Помещение, внутри которого располагается система автоматической поддержки климатических условий. В данном случае уровень температуры был установлен на отметке 24°C +/-1°C. За точностью соблюдения заданных параметров наблюдало четыре датчика, один из которых находился в 5 см от вентилятора системы охлаждения видеокарты и был ведущим. По нему происходила основная коррекция температуры в помещении.
Шум измерялся на расстоянии 50 см до видеокарты. Фоновый уровень составлял менее 20 дБА. В качестве жесткого диска использовался SSD, а блок питания, помпа, радиатор с вентиляторами во время замера находились за пределами комнаты. На стенде отсутствовали иные комплектующие, издающие какие-либо шумы.
реклама
Видеозапись системы охлаждения производилась на расстоянии ~10 см от вентилятора. Первые 5-10 секунд без нагрузки в режиме простоя, далее включалась 100% нагрузка с помощью программы Unigine Heaven Benchmark v4.0. Наибольший уровень шума достигается в конце аудиозаписи. Заранее определялся температурный режим и шум, чтобы в процессе записи аудиодорожки вы смогли услышать именно максимальный шум. В процессе просмотра видеороликов можно выделить тембр и характер звуков, издаваемых системой охлаждения. Предупреждаю вас, что звук на них сильно приукрашен, то есть ощущается сильнее, чем есть на самом деле.
Уровень потребления электричества в простое оценивался по показаниям тарификатора E305EMG сразу после загрузки операционной системы. Значения, отображаемые на графике, соответствуют минимально достигнутым цифрам с прибора. Под нагрузкой видеокарты тестировались программой Unigine Heaven Benchmark v4.0. После 10-15 минут температура и обороты вентилятора достигали своего теоретического максимума, после чего данные заносились в таблицу.
Температура силовых цепей измерялась путем установки термодатчика в пространство между радиатором и термопрокладкой в самое нагруженное место. Если радиатор отсутствует, то датчик крепился на самое горячее место, определяемое пирометром заранее.
Исследование потенциала системы охлаждения
Пояснения к графикам:
- Красная линия – максимальная температура.
- Синяя – в режиме простоя.
- Черная линия показывает уровень издаваемого шума, при определенных оборотах вентилятора.
- Пунктирная линия указывает на диапазон регулировки в автоматическом режиме вентилятора.
В процентах указана скорость вентилятора/ов, выставленная в MSI Afterburner, начиная от 20% (иногда от 10%, когда это позволяет PWM вентилятора/ов; для видеокарт Nvidia от 35% или меньше, когда это позволяет PWM вентилятора/ов) до 100%, с шагом 5%. Таким образом, чтобы понять, насколько нагреется видеокарта, и как сильно она будет шуметь, скажем, при 50% скорости вентилятора, достаточно провести вертикальную линию через отметку 50%. В местах пересечения получаем три значения: с красной линией – максимальную температуру в нагрузке, с синей – температуру в простое, с черной – уровень шума.
Все видеокарты тестировались с заводскими частотами.
Температуры графического ядра/системы питания и обороты вентилятора/ов.
реклама
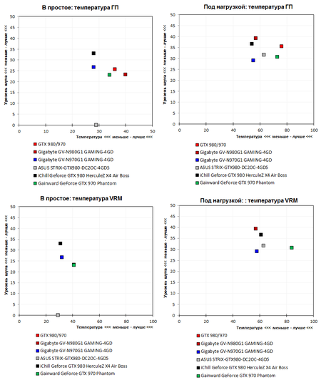
Несмотря на сравнительно небольшое тепловыделение, радиатор с четырьмя тепловыми трубками работает на износ. Это связано с низкими оборотами вентиляторов. В угоду акустическому комфорту в Gainward решили пойти на компромисс. Допустим, мы согласимся с этим, но что делать с системой питания? 80 с лишним градусов Цельсия под нагрузкой – это слишком много. Да, Dr.MOS выдерживают и большие температуры, но на здоровье устройства это рано или поздно скажется.
В целом становится понятно, куда двигались инженеры, а как это поправить и возможно ли вообще? Увы, но без замены радиатора VRM проблему не решить. Так что будьте осторожны и следите за нагревом Dr.MOS микросхем.
Шум от видеокарты небольшой, но в некоторых режимах можно услышать писк дросселей. Причиной стал запуск приложения Unigine Heaven Benchmark, которое вызывает писк дросселей в гипертрофированном виде, а также выключенный Vsync. И наконец – необходимо учитывать чувствительность микрофона, которая раза в два выше нормальной.
Сводный анализ производительности систем охлаждения
Соотношение температуры и шумности в автоматическом режиме.
Разгон
Разгон в случае GeForce GTX 970/ GTX 980 стал занятием для ленивых пользователей. Ничего большего кроме как добавлять энергопотребление и напряжение в рамках дозволенного нам не позволили.
Попытки увеличить базовое энергопотребление модификацией BIOS допустимы, но лимиты напряжений остаются неизменными. Поэтому весело двигаем ползунки к максимальным значениям и проверяем частоту.
Уровень потребляемого электричества
Среднее | Максимальное
Включите JavaScript, чтобы видеть графики
Результаты Metro: Last Light
реклама
Настройки:
- DirectX 11;
- Разрешение – 2560х1440;
- Продвинутый PhysX – выключен;
- Улучшенная глубина резкости – выключена;
- Тесселяция – Normal;
- Качество – Very High;
- Motion Blur – Normal;
- Полноэкранное сглаживание – SSAA;
- Анизотропная фильтрация (AF) – 16x.
Мин.|Средн.
2560x1440
Включите JavaScript, чтобы видеть графики
Уровень разгона героя обзора можно назвать средним. Обычно частота 1500 МГц покоряется всем, но нынче нам не повезло. Даже память застряла на стандартной частоте – 1900 МГц.
В итоге это позволило версии Gainward на равных побороться с референсной моделью GeForce GTX 980, что само по себе является отличным показателем. Осталось уточнить, как видеокарта Phantom вела себя на протяжении тестов.
Детальные данные
Для оценки поведения участников обзора в номинальном режиме и при разгоне обратимся к тесту Metro: Last Light, проведенному шесть раз, и параллельно соберем данные, которые затрагивают графическое ядро, память, энергопотребление и температуры. После объединения полученных результатов в единых графиках можно видеть, насколько точно соответствуют заводские характеристики реальным цифрам и что происходит с важными показателями при разгоне.
Частота ядра и стабильность GPU Boost.
BIOS хоть и подвергся модернизации, но исключительно по частотами. В нем нет ни подстроенного значения TDP, ни повышенного напряжения. Формально Gainward соблюла все договоренности с Nvidia, и проблем с выяснением отношений не будет. Хотя фактически инженеры компании все же оставили небольшой запас для разгона.
Но если честно, при взгляде на конкурентов хотелось бы получить немного больше, как минимум – расширенный диапазон TDP. Тогда бы и частоты не прыгали.
Частота памяти.
Память на GeForce GTX 970 так же участвует в распределении общего TDP. Но ее частота не бегает, а стабильно держится на требуемом уровне. Если из-за памяти будет превышение TDP, то видеокарта просто виснет.
Напряжение vGPU.
В разгоне мы вручную повышаем напряжение на 0.087 В, но оно постоянно подстраивается под ограничение в рамках технологии GPU Boost, заложенной в BIOS.
Температура GPU.
Низкий уровень шума версии Gainward автоматически означает работу видеокарты близко к предельной температуре. Де-факто для всех GeForce GTX 980/ GTX 970 порог обычно начинается с 79-81°C.
Энергопотребление.
Nvidia жестко регламентирует энергопотребление, и некоторые производители не хотят препятствовать этому. Тестируемая видеокарта Phantom полностью разделяет это правило, не переступая черту.
Обороты вентиляторов.
Заключение
Модель Gainward GeForce GTX 970 Phantom оставила неоднозначные впечатления. С одной стороны, она полностью соответствует требованиям и правилам Nvidia. Видеокарта мало шумит, не превышает значение TDP, присутствует небольшой запас по разгону. Но с другой – больше ничего положительного и нет, за исключением привлекательной и необычной системы охлаждения.
Возможно, многих пользователей вполне устроит низкий уровень шума и стабильная работа Gainward GeForce GTX 970 Phantom. Другим же от видеокарты, позиционируемой как топовое решение, хочется большего, и им стоит обратить внимание на иные модели GeForce GTX 970.
Выражаем благодарность:
- Компании It-labs.ru за предоставленную на тестирование видеокарту Gainward GeForce GTX 970 Phantom.
- А также лично donnerjack.
Страницы материала
Лента материалов раздела
Соблюдение Правил конференции строго обязательно!
Флуд, флейм и оффтоп преследуются по всей строгости закона!
Комментарии, содержащие оскорбления, нецензурные выражения (в т.ч. замаскированный мат), экстремистские высказывания, рекламу и спам, удаляются независимо от содержимого, а к их авторам могут применяться меры вплоть до запрета написания комментариев и, в случае написания комментария через социальные сети, жалобы в администрацию данной сети.


Комментарии Правила