Обзор и тестирование видеокарты ASUS GeForce GTX 980 Strix OC (Strix-GTX980-DC2OC-4GD5) (страница 2)
Тестовый стенд
Для тестирования видеокарты ASUS GeForce GTX 980 Strix OC использовалась следующая конфигурация:
- Материнская плата: ASUS Maximus VII Hero (Intel Z97, LGA 1150);
- Процессор: Intel Core i7-4790К 4200 МГц (100 МГц х 42, 1.25 В);
- Система охлаждения: система водяного охлаждения;
- Термоинтерфейс: Arctic Cooling МХ-2;
- Оперативная память: Corsair Vengeance 2400 МГц, 2 x 8 Гбайт, (10-12-12-31-1T, 1.65 В);
- Накопитель SSD: Corsair Force Series GT, 128 Гбайт;
- Блок питания: Corsair AX1200i Digital, 1200 Ватт;
- Аудиокарта: ASUS Xonar Essence STX;
- Операционная система: Microsoft Windows 7 x64 SP1.
Перечень контрольно-измерительных приборов и инструментов
- Шумомер: Center 320;
- Мультиметр: Fluke 289;
- Тарификатор электроэнергии: E305EMG.
Инструментарий и методика тестирования
Для корректного замера температуры и шума использовались приведенные ниже условия. Помещение, внутри которого располагается система автоматической поддержки климатических условий. В данном случае уровень температуры был установлен на отметке 24°C +/-1°C. За точностью соблюдения заданных параметров наблюдало четыре датчика, один из которых находился в 5 см от вентилятора системы охлаждения видеокарты и был ведущим. По нему происходила основная коррекция температуры в помещении.
реклама
Шум измерялся на расстоянии 50 см до видеокарты. Фоновый уровень составлял менее 20 дБА. В качестве жесткого диска использовался SSD, а блок питания, помпа, радиатор с вентиляторами во время замера находились за пределами комнаты. На стенде отсутствовали иные комплектующие, издающие какие-либо шумы.
Видеозапись системы охлаждения производилась на расстоянии ~10 см от вентилятора. Первые 5-10 секунд без нагрузки в режиме простоя, далее включалась 100% нагрузка с помощью программы Unigine Heaven Benchmark v4.0. Наибольший уровень шума достигается в конце аудиозаписи. Заранее определялся температурный режим и шум, чтобы в процессе записи аудиодорожки вы смогли услышать именно максимальный шум. В процессе просмотра видеороликов можно выделить тембр и характер звуков, издаваемых системой охлаждения. Предупреждаю вас, что звук на них сильно приукрашен, то есть ощущается сильнее, чем есть на самом деле.
Уровень потребления электричества в простое оценивался по показаниям тарификатора E305EMG сразу после загрузки операционной системы. Значения, отображаемые на графике, соответствуют минимально достигнутым цифрам с прибора. Под нагрузкой видеокарты тестировались программой Unigine Heaven Benchmark v4.0. После 10-15 минут температура и обороты вентилятора достигали своего теоретического максимума, после чего данные заносились в таблицу.
Температура силовых цепей измерялась путем установки термодатчика в пространство между радиатором и термопрокладкой в самое нагруженное место, если радиатор отсутствует, то датчик крепился на самое горячее место, определяемое пирометром заранее.
Исследование потенциала системы охлаждения
Пояснения к графикам:
- Красная линия – максимальная температура.
- Синяя линия – в режиме простоя.
- Черная линия показывает уровень издаваемого шума, при определенных оборотах вентилятора.
- Пунктирная линия указывает на диапазон регулировки в автоматическом режиме вентилятора.
В процентах указана скорость вентилятора/ов, выставленная в MSI Afterburner, начиная от 20% (иногда от 10%, когда это позволяет PWM вентилятора/ов; для видеокарт Nvidia от 35% или меньше, когда это позволяет PWM вентилятора/ов) до 100%, с шагом 5%. Таким образом, чтобы понять, насколько нагреется видеокарта, и как сильно она будет шуметь, скажем, при 50% скорости вентилятора, достаточно провести вертикальную линию через отметку 50%. В местах пересечения получаем три значения: с красной линией – максимальную температуру в нагрузке, с синей – температуру в простое, с черной – уровень шума.
реклама
Все видеокарты тестировались с заводскими частотами.
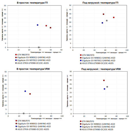
Температуры графического ядра/системы питания и обороты вентилятора/ов.
Минимальные обороты работы вентиляторов равны 700 об/мин, но они достигаются только в случае понижения оборотов от больших к меньшим. А стартовать с 700 об/мин вертушки не могут. Хотя нас это особо не беспокоит, ведь в простое они попросту отключаются.
Под нагрузкой температура графического процессора не поднимается выше 62-63°C – очень комфортный режим. Не бесшумный, конечно, но и не назойливый для ушей – 31.7 дБА. Впрочем, можно было сделать и тише, благо запас это позволяет. И все бы отлично, если бы не одно «но»! Система питания склонна к перегреву, и пока вентиляторы крутятся, она находится вне опасности.
Все-таки отдельно стоящий небольшой радиатор и восемь фаз питания должны охлаждаться чем-то более существенным. Если объективно, кажущийся недостаток не слишком большой в масштабах проблем с охлаждением VRM у других видеокарт.
Писк дросселей несколько приукрашен из-за высокой чувствительности микрофона. В реальности с расстояния в 50 см их не слышно.
Сводный анализ производительности систем охлаждения
Соотношение температуры и шумности в автоматическом режиме.
Разгон
Разгон в случае GeForce GTX 970/ GTX 980 стал занятием для ленивых. Ничего большего кроме как добавлять энергопотребление и напряжение в рамках дозволенного нам не позволили.
Попытки увеличить базовое энергопотребление модификацией BIOS допустимы, но лимиты напряжений остаются неизменными. Поэтому весело двигаем ползунки к максимальным значениям и проверяем частоту.
реклама
Уровень потребляемого электричества
Среднее | Максимальное
Включите JavaScript, чтобы видеть графики
Результаты Metro: Last Light
Настройки:
- DirectX 11;
- Разрешение – 2560х1440;
- Продвинутый PhysX – выключен;
- Улучшенная глубина резкости – выключена;
- Тесселяция – Normal;
- Качество – Very High;
- Motion Blur – Normal;
- Полноэкранное сглаживание – SSAA;
- Анизотропная фильтрация (AF) – 16x.
Мин.|Средн.
2560x1440
Включите JavaScript, чтобы видеть графики
С одной стороны, видеокарта ASUS неплохо разогналась – до частот 1500/1900 МГц. С другой – память немного подкачала, обычно частота 1950 МГц берется элементарно. Зато при подробном рассмотрении выясняется, что версия Strix экономичнее варианта Gigabyte.
Детальные данные
Для оценки поведения участников обзора в номинальном режиме и при разгоне обратимся к тесту Metro: Last Light, проведенному шесть раз, и параллельно соберем данные, которые затрагивают графическое ядро, память, энергопотребление и температуры. После объединения полученных результатов в единых графиках можно видеть, насколько точно соответствуют заводские характеристики реальным цифрам и что происходит с важными показателями при разгоне.
Частота ядра и стабильность GPU Boost.
С заводскими настройками герой обзора копирует рекомендуемое поведение GeForce GTX 980: частота колеблется в рамках заявленного диапазона (1278-1304 МГц, что несколько больше заявленного). В разгоне GPU ведет себя идеально. Он будто забывает о Boost технологии и стабильно придерживается заданной частоты 1500 МГц.
Частота памяти.
Память на видеокартах GeForce GTX 980 также участвует в распределении общего TDP. Поэтому иногда придется решать, что важнее – частота графического процессора или памяти.
Напряжение vGPU.
И здесь все по фэн-шую, никаких отклонений от нормы. Пока курсор мыши не коснулся ползунка для разгона, напряжение скачет согласно расписанию GPU Boost. Задействовали возможности Maxwell – получайте каменную стабильность. О чем и говорилось выше – залог успешного и стабильного разгона кроется в настроенном BIOS.
Температура GPU.
Энергопотребление.
Значение TDP версии Strix отображается правильно, и связано это с настройками в BIOS. Если они внесены корректно, то и показатели близки к реальным.
Обороты вентиляторов.
Вентиляторы модели ASUS раскручиваются при достижении температуры 65°C и делают это максимально плавно. Такая температура не достигается в 2D, а значит, и видеокарта не будет беспокоить вас.
Заключение
ASUS GeForce GTX 980 Strix OC вышла почти идеально сбалансированной видеокартой, единственным недостатком которой стали слегка пищащие дроссели. Ну а в пункт «Может не устроить» стоит занести ширину модели и выступающую тепловую трубку системы охлаждения. В остальном же изъянов мне найти не удалось.
Среди ее достоинств – рациональная остановка вентиляторов в простое и их плавное включение при достижении определенной температуры, индикация питания и некоторые аппаратные возможности для разблокировки напряжения графического процессора, памяти и PLL. При этом версия Strix-GTX980-DC2OC-4GD5 не относится к топовым моделям компании ASUS и способна на равных конкурировать с оппонентами в сегменте решений для энтузиастов.
Выражаем благодарность:
- Компании ASUS за предоставленную на тестирование видеокарту ASUS Strix-GTX980-DC2OC-4GD5.
- А также лично donnerjack.
Страницы материала
Лента материалов раздела
Соблюдение Правил конференции строго обязательно!
Флуд, флейм и оффтоп преследуются по всей строгости закона!
Комментарии, содержащие оскорбления, нецензурные выражения (в т.ч. замаскированный мат), экстремистские высказывания, рекламу и спам, удаляются независимо от содержимого, а к их авторам могут применяться меры вплоть до запрета написания комментариев и, в случае написания комментария через социальные сети, жалобы в администрацию данной сети.


Комментарии Правила